喜迎新年 守正创新 | CAD检测器助力传承国宝精华-中药配方颗粒
发布时间:2022-05-31 15:45 | 点击次数:726
中药配方颗粒
随着元旦假期的结束,2021年已落下帷幕,新的一年正式来临。回顾整个2021年,既是中国全面发展的一年,又是全国人民团结同心、抗击疫情的一年,对于中药配方颗粒的研发和生产企业来说也是充实满满的一年。中药配方颗粒是用符合炮制规范的传统中药饮片作为原料,经现代制药技术提取、浓缩、分离、干燥、制粒、包装精制而成的纯中药产品系列。随着中药政策和市场的发展,中药配方颗粒的研究已成为当前热点且具有广阔的市场前景。
2021年2月,国家药监局、国家中医药局、国家卫生健康委、国家医保局共同发布《关于结束中药配方颗粒试点工作的公告》,结束了长达20年的中药配方颗粒试点工作,取得《药品生产许可证》并同时具有中药饮片和颗粒剂生产范围的中药企业均可生产中药配方颗粒,这给许多中药企业带来极大的机遇与挑战。关于中药配方颗粒质量研究的药品标准也有了很大突破。经国家药品监督管理局批准,shou批160个中药配方颗粒国家药品标准已正式颁布并于11月1日正式实施;第二批36个中药配方颗粒国家药品标准也已经完成公示。同时,各省级药品监督管理部门制定省级中药配方颗粒标准,累计发布上千个省级中药配方颗粒标准公示稿,积极推动中药配方颗粒政策加速落地。

国家以及省级中药配方颗粒标准的制定具有重大的意义,同时也是一项工作量庞大、困难重重的任务。尤其是不同中药品种中成分复杂、特定组分紫外吸收弱,这无疑给中药配方颗粒的质量研究和标准制定带来一定挑战。
CAD检测器
电雾式检测器(又称CAD检测器,下同)作为一种通用的质量型分析检测器,具有灵敏度高、重复性好、线性范围广等特点,尤其对无紫外吸收物质的检测具有很大的优势。目前CAD检测器已经收录到2020中国药典通则中,为医药企业不论是在研品种的质量研究还是品种生产过程中的质量控制都带来一定的便利性。目前各省市公示执行的省级中药配方颗粒标准中,已有多个药品标准是通过CAD检测器建立完成的。下面就让我们共同欣赏一些采用CAD检测器建立的中药配方颗粒标准的经典案例吧:

图:CAD检测器(左:Corona Veo 系列,右:Vanquish CAD系列)
#1
盐巴戟天配方颗粒:

在临床上,盐巴戟天是常用的一类中药,其含有丰富的蔗糖和耐斯糖、巴戟天寡糖等低聚糖类,具有补肾强筋、活血调经的功效,对提高人体免疫能力和抗肿瘤等也具有一定药理活性。由于糖类成分复杂,对这些成分的整体检测也具有一定难度,CAD检测器则可以有效解决这一难题。2021年5月广东省公示的盐巴戟天配方颗粒省级标准中就是采用酰胺基色谱柱分离和CAD检测器检测的方式,实现盐巴戟天配方颗粒中糖类组分的特征图谱检测和耐斯糖的含量测定。通过此方法,各糖类成分均能实现有效分离检测,且峰型好,理论塔板数高,说明CAD检测器对低聚糖组分具有优异的检测效果。目前,广东、四川、山西、青海、宁夏等多个省份的盐巴戟天配方颗粒省级标准均采用了CAD检测器的方案。

图 盐巴戟天配方颗粒糖类特征图谱
(点击查看大图)

图 盐巴戟天配方颗粒耐斯糖含量测定图谱
(点击查看大图)


图 盐巴戟天配方颗粒省级标准
向下滑动查看所有内容
#2
青葙子配方颗粒:

青葙子为苋科植物青葙的种子,具有清肝,明目,退翳等功效。青葙子的主要活性成分为青葙苷,属皂苷类,其紫外吸收较低,因此对青葙子配方颗粒的质量研究具有一定难度。湖北省公示的青葙子配方颗粒省级标准中的特征图谱和含量测定项均是采用CAD检测器完成的。从特征图谱结果中可以看到:通过CAD检测器,青葙子配方颗粒中各主要成分均可有效检出,且峰型优异、分离度高,计算得到各特征峰与S峰的相对保留时间符合标准规定。而在含量测定的图谱结果中可以看到,低浓度下活性成分青葙苷I仍可有效检出,说明CAD检测器可以实现青葙子配方颗粒的高灵敏检测分析。目前,湖北省与北京市的青葙子配方颗粒标准均采用了CAD检测器的方案。

图 青葙子配方颗粒特征图谱
(点击查看大图)

图 青葙苷I对照品图谱
(点击查看大图)

图 青葙子配方颗粒含量测定图谱
(点击查看大图)

图 青葙子配方颗粒省级标准
(点击查看大图)
向下滑动查看所有内容
除了在省级药品标准中大放异彩,CAD检测器还可应用于国家药品标准,为不同品种中药配方颗粒的质量检测提供诸多便利,比如单糖的测定。中药材大多含有果糖、蔗糖等糖类成分,许多配方颗粒品种的标准公示稿也对糖类物质的含量测定进行了相关规定。例如白术配方颗粒国家药品标准就是采用ELSD检测器检测果糖和蔗糖的含量。但ELSD检测器的重复性差,且糖类物质在ELSD检测器内容易残留,影响检测结果。CAD检测器具有灵敏度高、重现性好等特点,可wan美解决糖类测定这一难题。利用CAD检测器对白术配方颗粒样品进行检测,结果发现:实际样品中果糖和蔗糖组分均能有效检出,且峰型好,理论塔板数满足要求,分离度高,其他组分对检测无干扰。

图 对照品检测结果
(点击查看大图)

图 白术配方颗粒样品检测结果
(点击查看大图)
滑动查看更多
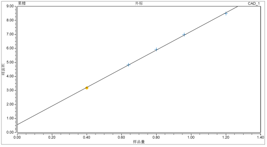
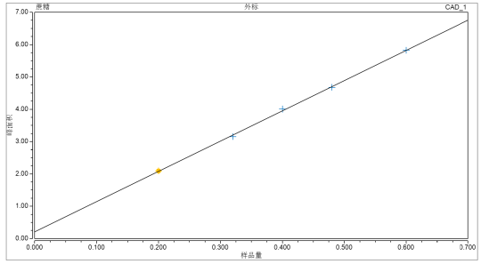
而关于样品中糖类物质的含量计算,CAD检测器也有独特的优势。白术配方颗粒国家药品标准是通过ELSD检测器的外标两点法对数方程计算得到,而CAD检测器无需进行对数换算,仅通过简单的直线线性拟合就可以得到定量标准曲线,从而直接计算出样品中含量。果糖和蔗糖在标准规定的浓度范围内均呈现良好线性,R2>0.999。说明CAD检测器可以实现中药配方颗粒的糖类物质含量测定。

图 果糖和蔗糖的线性图谱
(点击查看大图)

图 果糖的线性结果
(点击查看大图)

图 蔗糖的线性结果
(点击查看大图)
除此之外,CAD检测器还可实现国家药品标准中其他弱紫外吸收的中药配方颗粒品种的特征图谱和含量测定项的检测研究。CAD检测器拥有高灵敏度、宽线性范围的检测特点,在中药配方颗粒的检测领域中具有较高的普适性,对中药配方颗粒的质量研究有一定的实际价值。
赛默飞Vanquish液相平台,具有流速精度高、梯度延迟体积灵活调节、多种柱温加热模式等特点,联合强大的CAD检测器和智能、可靠的Chromeleon色谱数据系统,能够满足企业以及科研机构对于中药配方颗粒质量研究中复现、提升与创新的需求。新的一年,新的开端,赛默飞致敬全体医药人员,愿与大家在2022年中药配方颗粒更成熟、更深入的研究道路上继续前行,将国宝发扬光大!
相关阅读
• 中药研究,以桑为例,近80种配方颗粒解决方案,开放下载!
• 质量控制,赛默飞助力中药配方颗粒企业持续输出优良精品
• “免煎汤剂”统一标准,赛默飞“柱”力中药配方颗粒质量控制

扫码可立即免费下载【电雾式检测器(CAD)在中药配方颗粒特征图谱与含量测定中的应用】


如需合作转载本文,请文末留言。
这样的应用图书馆
不来了解一下?
点击进入小程序完成注册
即刻抽取盲盒好礼


