60秒快速分析鉴定寡核苷酸的高通量方法酸的高通量方法
发布时间:2022-08-29 15:18 | 点击次数:423
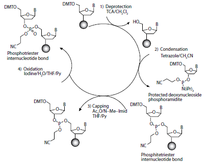
01
寡核苷酸合成
寡核苷酸是连接在一起形成单链生物聚合物很短的单链或双链核酸片段,分为脱氧核糖核酸和核糖核酸的短序列。寡核苷酸是通过化学合成的,常用的合成方法是固相亚磷酰胺三酯法。合成路线如图1,第一步:去除固相载体5’-羟基的保护基团DMT,获得游离的5’-羟基;第二步:将亚磷酰胺保护核苷酸单体与活化剂四氮唑混合,得到核苷ya磷酸活化中间体,与游离的5’-羟基发生缩合反应;第三步:将上一步反应中的未能加入新碱基的活化碱基被cu酸酐酸化,这一过程称为戴帽,这些戴帽的碱基不会参与到后续的合成循环中。第四步:通过氧化剂,第一个碱基与被成功偶联的第二个碱基之间的ya磷酸酯键将会被氧化成稳定的磷酸三酯键,以维持不断增长的链。

图1寡核苷酸合成过程
(点击查看大图)
02
寡核苷酸的鉴定
寡核苷酸的化学合成过程中不可避免的会产生n-1、n-2等更短序列的杂质,因此需要对合成的寡核苷酸进行纯化鉴定。因为寡核苷酸样品中的盐会影响其离子化过程和造成峰强度降低,所以必须进行样品除盐处理后再进质谱检测器鉴定。相比离线除盐方法,在线除盐方法更加省时省力。我们利用赛默飞新型Vanquish duo液相色谱系统(图2)联用质谱检测器Thermo Scientific™ LTQ XL开发了双柱交替(图3)在线高通量除盐并鉴定的应用。双柱交替当柱A正在做脱盐和分析时,与此同时,柱B正在活化再生和平衡等待进样。然后双柱角色互换,如此循环往复。

图2 Vanquish Duo液相色谱系统

图3 智能双柱交替流路链接示意图
(点击查看大图)
色谱条件
色谱柱:DNAPac™ RP(2.1×10 mm 4µm)
柱温:40℃
进样量:1 µL;
流动相:A:0.5% HFIPA和0.05% DIEA的水溶液B:10%的A+90%甲醇溶液
表1.右泵平衡泵梯度方法

(点击查看大图)
表2.左泵分析泵梯度方法

(点击查看大图)
分析结果
图4为寡核苷酸样品的总离子流图,图5和图6分别为对应的原始质谱图和去卷积后的图。从图7序列中每一针进样时间间隔可知,该方法分析周期实为1min(含进样、取样前洗针、取样后洗针、脱盐、分析、采集质谱数据),一天按24小时计算的话,可以分析1440个寡核苷酸样品,可以满足快速、高通量分析的要求。本法无需单独为柱A和柱B分别建立方法,全程只有一个方法,真正实现智能双柱交替在线除盐。从表3中寡核苷酸分子量理论值与实测值比较可知,偏差在0~100ppm之间,化合物匹配失败的除外。这两个匹配失败的样品是根据分子量偏差和质谱数据综合判断的。

图4 寡核苷酸样品的总离子流图
(点击查看大图)

图5 寡核苷酸样品原始质谱图
(点击查看大图)

图6 去卷积后的图
(点击查看大图)

图7 进样间隔1min的序列截图
(点击查看大图)
表3.理论分子量与实测分子量对比

点击查看大图)
03
寡核苷酸的用途
寡核苷酸产品有着广泛的应用,不仅在基础研究方面,还包括医学诊断、法医学和农业科学等各大领域,设计基因表达、基因分型、克隆、分子诊断及作为药物治疗各种疾病。下表是已上市获批的寡核苷酸药物统计情况,我们可以看出寡核苷酸药物领域逐渐火热的势头。


