基于尖端的全柱成像等电毛细管电泳
发布时间:2022-12-20 15:43 | 点击次数:767
纵观近年来全球生物制药行业的发展趋势,单克隆抗体所占shichang份额越来越高,艾伯维公司的阿达木单抗注射液更是多年稳坐全球销售额“药王”的宝座,帕博利珠、乌司奴和纳武利尤等多个单抗产品也均在2021年全球药品jian端|销售额中占有一席之地。
由于蛋白类药物的电荷异质性可能导致生产过程中的产品降解等,从而对产品的安全性和有效性造成影响,所以对蛋白类药物的电荷变异体深入表征和评估是十分必要的。目前已知多种修饰会导致电荷变异体的产生,除常见的C端赖氨酸丢失、N端焦谷氨酸环化、脱酰胺化、氧化和糖基化等修饰外,还有多种可能的修饰会影响蛋白质的等电点(Isoelectric point, pI),进而影响蛋白的电荷异质性。所以采用先进的分析技术对电荷变异体进行分离和深入表征就显得尤为必要。
全柱成像等电毛细管聚焦电泳( Imaged capillary isoelectric focusing, icIEF)技术由于其通量高、易于使用、方法开发快速和重现性好等优点,已经被广泛用于治疗性蛋白产品的开发和生产过程中。而将高分辨质谱与icIEF平台联合使用,可以充分发挥二者的优点,从而使治疗性蛋白产品的高效分离和深入表征成为可能。
在本文的工作中,通过将iCIEF技术与高分辨质谱联合使用,我们对帕博利珠这一人源化IgG4单克隆抗体的电荷变异体分别进行了完整分子量层面和肽图层面的表征。我们使用的CEInfinite iCIEF平台(来自于Advanced Electrophoresis Solution Ltd., AES有限公司)除了高质量的iCIEF-UV功能外,还可以与高分辨质谱直接在线串联,测定电荷变异体的分子量,无需额外转换接口,且该平台从质谱直连模式转换为全自动的馏分收集模式也非常简便快捷,无需安装/拆xie任何模块。
图1A为iCIEF-MS直连模式的工作原理图,图1B则为馏分收集模式工作原理图。


(B)
图1. CEInfinite iCIEF平台工作原理图。
(A) iCIEF-MS 直连模式。(B) 馏分分离及收集模式。
(点击查看大图)
iCIEF-MS直连模式的优点之一就是无需繁琐的样品前处理步骤,可以在研发/生产的任意阶段获取样品后,快速进行完整分子量层面的电荷变异体监控。下图2及图3展示了我们使用iCIEF-MS直连技术分析帕博利珠单抗电荷变异体的结果,可见即使是pI仅差0.02的碱峰B1和主峰,也可以在iCIEF上得到基线分离(图2),随后的高分辨质谱分子量测定结果显示该碱峰与主峰相比,主要差异是其中一条重链的N端未发生焦谷氨酸环化。另外观察原始质谱谱图不难发现,得益于Orbitrap高分辨质谱的灵敏度,即使是强度比主峰低2~3个数量级的碱峰B3,仍可得到糖型分布清晰的谱图,并可通过解卷积观察到该峰中各个组分的分子量(图3)。表1展示了iCIEF-MS直连测得的每个峰中主要的电荷变异体种类。


图2. (A)帕博利珠 iCIEF- UV 分离谱图。(B) 帕博利珠单抗各个电荷变异体百分含量,上样量为柱上1.6μg。A1-A4, 酸峰; Main, 主峰; B1-B3, 碱峰。

图3. iCIEF-MS在线直联分析帕博利珠电荷变异体。
(A),主峰与所有碱峰原始质谱图对比。(B),碱峰B1(pI=7.59)与主峰(pI=7.57)解卷积结果镜像图对比。(C),基于肽图得到的主峰和碱峰B1重链N端焦谷氨酸环化比率。(D),碱峰B3解卷积结果。

表1 iCIEF-MS在线直联鉴定帕博利珠电荷变异体。HC,重链。
(点击查看大图)
通过iCIEF-MS在线直连对帕博利珠单抗的电荷变异体进行分离并测定其完整分子量后,为了对电荷变异体进行更加深入的表征,我们使用CEInfinite iCIEF平台的馏分收集功能,对其电荷变异体的每个峰离线收集后进行酶解,随后上样至高分辨液质联用平台进行肽图分析。图4展示了离线馏分收集及馏分纯度的确认过程。在馏分收集过程中,得益于iCIEF平台分离良好的稳定性,可以通过预实验确定每个峰的出峰时间后,设定队列自动进行循环收集,从而节省实验室人力,提高收集通量。
在我们的实验中,根据预实验结果,选定五个峰(两个酸峰,两个碱峰以及主峰)进行收集,总共进行了20针重复进样,每针上样量为8μg,将多针重复进样的相同峰进行合并,即使是含量很低的电荷异质体,也能够收集到足够量的蛋白进行后续分析。
图4A展示的是其中10针进样的谱图重叠,可见系统具有良好的重现性。图4B中展示了每个峰的峰面积相对含量(以所有峰面积总和为100%计,下同),可见有三个酸/碱峰的峰面积相对含量均小于10%,其中酸峰A2的峰面积相对含量只有2.40%。无论是相对含量最高的主峰,还是低含量的酸/碱峰,多针重复进样峰面积CV值均小于7%,证明了系统良好的重现性。图4C是取了五针重复进样收集后合并的馏分进行峰纯度的确认,可见不同的峰之间均得到了良好分离。



图4. 离线馏分收集及馏分纯度的确认。
(A) 馏分收集,10针重复进样UV谱图重叠。(B)每个峰的在所有峰中的相对百分含量,以峰面积计算。(C) 离线收集的五个馏分,重新进样以确认峰纯度。
(点击查看大图)
图5展示了主峰肽图覆盖率及色谱图。离线收集的馏分经胰酶酶切,轻重链均可达到98%以上覆盖率,且所有肽段均包含二级谱图信息。色谱分离良好,绝大多数色谱峰中包含的肽段均得到了鉴定。


图5 主峰(pI=7.57)序列覆盖度以及色谱图。
(A),序列覆盖度。(B),色谱图。绿色阴影部分表示该色谱峰中的肽段来源于轻链,粉色阴影部分表示该色谱峰中的肽段来源于重链。
(点击查看大图)
通过对收集到的五个峰分别酶解,随后进行UHPLC-MSMS肽图分析,我们对每个峰中重链末端、糖型和侧链常见PTM的变化趋势进行了深入研究。图6展示的是末端修饰的变化情况。由于重链C端赖氨酸丢失、轻/重链N端焦谷氨酸环化等修饰会对产品的电荷异质性产生影响,分析科学家们通常都会对这些修饰进行监控。从图6中不难发现,相较于酸峰和主峰,两个碱峰中重链C端赖氨酸丢失的比率均有较为明显的下降。另外碱峰B1中焦谷氨酸环化比率明显降低,只有30%左右,而其他的四个峰此修饰比率均在90%以上,这一结果也与前文中的质谱直连结果相吻合。图6C中的焦谷氨酸环化肽段二级谱图,碎片离子丰富,信噪比高,也证明了定性定量结果的可信度。

图6. 所有峰中末端修饰定性定量结果。所有定量结果均为三针平行进样的平均值,下同。
(A), 所有峰中赖氨酸丢失/焦谷氨酸环化比率对比。(B), 主峰中焦谷氨酸环化肽段二级碎片覆盖图。(C), 主峰中焦谷氨酸环化肽段二级谱图。
(点击查看大图)
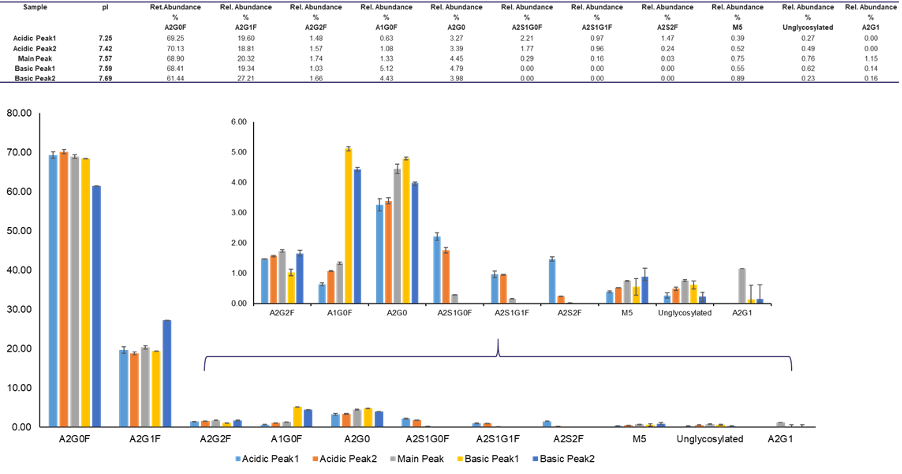
重链上的保守N糖基化位点的糖链修饰情况也是需要监控的修饰之一。图7中展示的是所有峰中N-糖链定性定量结果,可见在酸峰中,含有唾液酸的糖链比率上升,而碱峰中A1G0F和A2G0的相对含量有所增高。

图7. 所有峰中N-糖链定性定量结果。局部放大图,相对含量小于6%的糖型。
(点击查看大图)
已知脱酰胺化会对蛋白质的结构、折叠和聚集等造成影响,且单抗中某些关键位点的脱酰胺化可能会影响产品的安全性和有效性,所以对于关键位点的天冬酰胺,通常会将其脱酰胺化修饰作为CQA进行监控。天冬酰胺脱酰胺反应是通过琥珀酰亚胺中间体进行的,故在监控脱酰胺的同时,也会一并监控琥珀酰亚胺化比率。此处以重链CDR区的N55为例展示其脱酰胺化和琥珀酰亚胺化的定性定量结果。脱酰胺通常会导致酸峰比例的增高,由实验结果不难发现,相较于主峰,两个酸峰中脱酰胺的比率均有显著上升,分别为主峰中脱酰胺相对含量的4.86倍和5.26倍,且琥珀酰亚胺化比率的变化也呈对应趋势(图8)。

图8. 主峰和酸峰中重链N55脱酰胺化及琥珀酰亚胺化定性定量结果。
(A), 修饰比率变化在主峰及酸峰中的分布。(B),主峰和酸峰中未修饰/脱酰胺修饰肽段对比。
(点击查看大图)
氧化同样也是可能影响产品安全性和有效性的翻译后修饰之一,所以我们选取了重链CDR区、Fc区和可能会影响帕博利珠单抗与PD-1结合的数个甲硫氨酸位点监控氧化比率变化情况。如图9所示,在碱峰中均可观测到甲硫氨酸氧化比率明显上升。


图9. 所有峰中选定甲硫氨酸位点氧化定性定量结果。
(A), 全局图。(B), 相对含量小于6%部分的局部放大图。
(点击查看大图)

