公司新闻
文献分享 | Orbitrap高分辨质谱技术在暴露组学中的应用
发布时间:2023-06-13 15:31 | 点击次数:301
文献分享篇 > > >
暴露组学是一门新兴的研究领域,侧重于分析和测量人类在一生中暴露于环境和生活方式因素的总体程度,以及这种暴露对人类健康的影响。其研究范围包括化学物质,污染物,辐射,饮食和体育锻炼等生活方式因素的暴露,以及可能影响健康和幸福的社会和经济因素。暴露组学研究旨在更好地理解环境暴露和人类健康结果之间的复杂相互作用,以预防和减轻与此类暴露有关的疾病负担。高分辨质谱技术作为一种强大的化学分析手段,被广泛应用于暴露组学的相关领域研究中。
本次我们分享两篇应用Orbitrap进行暴露组学相关研究的文章。
研究背景
质谱非靶向代谢组学研究流程由于其检测目标可涵盖机体内的全部内源性代谢物、饮食摄入物以及环境污染物而被广泛应用于暴露组相关物质的研究检测。基于上述流程所测得的生物样品数据中可含有上万个特征信号,虽然经过数据发掘和多数据库比对,很多与宿主、微生物代谢以及常见环境暴露因素(包括烟草、药品和环境污染物)的化合物可得到解析鉴定,但是数据中的大部分特征信号仍然为未知物,被称为“代谢组学暗物质”(metabolomics dark matter)。
考虑到日常饮食中大量植物成分的存在,上述暗物质中极有可能包括大量植物化学成分及其在人体、肠道微生物体内代谢产生的代谢物。本文作者以多酚类物质为切入点,研究食源性植物化学物质在人体内暴露情况。
Part.2
建立多酚类化合物谱图库
研究人员总结归纳了常见蔬菜水果中的已知多酚类物质清单,并参考相关食品组学文章中采用质谱分析所检测到的多酚类物质,从而生成了目标化合物列表并收集到166种对照品。这些对照品包括57种苯甲酸、苯甲醛、苯环衍生物,12种肉桂酸,16种benyisuan,11种苯bingsuan,9种嘌呤衍生物,8种马尿酸,5种色氨酸-吲哚衍生物,3种吡啶甲酸,2种儿茶酚胺等。
研究人员在Q Exactive HF-X高分辨液质联用系统上建立了非靶向代谢组学方法测试多酚类化合物对照品,建立谱图数据库。166种对照品中有151种化合物可被质谱检测到,其中90种可在正、负离子模式下同时被检测到。
Part.3
检测尿液和血浆中的
多酚类食源性代谢物
研究人员由美国儿童健康暴露分析资源组织(Child Health Exposure Analysis Resource, CHEAR)获得参照尿液和血浆样本。经过蛋白沉淀处理后,直接用于液质联用分析。研究人员将代谢物鉴定结果分为三个等级:OL1(MS、RT和MS/MS匹配)、OL2a(MS和RT匹配)和OL2b(MS和MS/MS匹配)。最终,在人体尿液和血浆样本中检测到123种代谢物。
总 结
本文作者以多酚类化合物为例,描述了建立饮食暴露组数据库(Dietary Exposome Library, DEL)的流程方法。通过不断完善数据库,有望进一步提高体内生物样本中化合物的鉴定覆盖率,阐明饮食暴露对于机体的影响。

研究背景
原发性硬化性胆管炎(PSC)和原发性胆汁性胆管炎(PBC)作为罕见的胆汁淤积性肝病,由于对其病因认知不足,导致治疗手段有限、预后效果差。尤其是肝毒性以及其他影响代谢的环境物质在疾病发生、发展过程中的可能作用仍然缺乏研究。
本文作者应用暴露组学-代谢组学相结合的方式来揭示PSC和PBC的潜在致病因素。通过全暴露组关联分析(exposome-wide association study, EWAS)检测包括农药、添加剂、持续污染物等环境物质暴露,分析环境物质在PSC和PBC发生过程中的作用。通过全代谢组关联分析(metabolome-wide association studies, MWAS)探究体内代谢途径在PSC和PBC疾病状态下的变化和差异。
Part.2
全暴露组关联分析
研究人员应用Q Excative GC Orbitrap 高分辨气质联用仪对病人、健康人的血浆样本中的环境物质进行非靶向分析。在数据处理方面,非靶向数据经过log2-转换、四分位差归一化处理,统计模型考虑年龄、性别等因素的影响,探究环境物质与PSC、PBC的关联。研究人员将错误发现率(false discovery rate, FDR)限值设置为20%,筛选出54个与PSC相关的物质。作为差异排名前6位的物质,C-256通过NIST 2017数据库匹配,被鉴定为氨基甲酸酯类农药芽根灵(terbucarb)。值得注意的是,在非靶向分析中,未找到与PCB相关的环境 物质。
同时,研究人员还通过Q Excative GC Orbitrap 高分辨气质联用仪和Orbitrap Exploris系列高分辨液质联用仪对血浆中的环境物质进行了554种物质靶向分析。最终通过GC-HRMS和LC-HRMS分别检测到55种和71种环境物质。将P < 0.05 作为差异物质筛选条件,分别发现12种和8种与PSC、PBC相关的环境物质。
Part.3
全代谢组关联分析
研究人员在Orbitrap Exploris系列高分辨液质联用平台上,采用HILIC和反相色谱两种分离模式对80个PSC病人和40个健康人血浆样本中的内源性代谢物进行分析检测,分别检测到了11634个和9109个特征信号。其中,有1204个特征信号与PSC相关。对40个PBC病人和40个健康人血浆样本中内源性代谢物分析中,HILIC和反相色谱分离模式分别检测到了11729个和9294个特征信号,其中703个特征信号与疾病相关。经代谢通路识别分析发现,与健康人相比,PSC病人和PBC病人分别有27条和10条代谢通路中的代谢物含量发生显著上调,9条代谢通路在两种疾病条件下都发生变化,其中胆汁酸生物合成是两种疾病条件下变化最为明显的代谢通路。
(△点击查看大图)
Part.4
EWAS × MWAS
研究人员通过网络分析检查环境物质与内源性代谢通路间的关联。在PSC和PBC两种疾病状态下,相互作用网络中分别生成了3个和2个聚类节点。其中,对于PSC分析最大的网络节点为氨基甲酸酯类农药芽根灵,该节点涵盖大多数氨基酸相关通路、类花生酸代谢以及核酸代谢通路。
Part.5
总 结
本文将高分辨液相质谱平台和高分辨质谱平台联用,对罕见肝病病人和健康人的血浆样本进行了暴露组学和代谢组学分析,揭示了外源性环境污染物对于胆汁淤积性肝病发生的影响。
暴露组学是一门新兴的研究领域,侧重于分析和测量人类在一生中暴露于环境和生活方式因素的总体程度,以及这种暴露对人类健康的影响。其研究范围包括化学物质,污染物,辐射,饮食和体育锻炼等生活方式因素的暴露,以及可能影响健康和幸福的社会和经济因素。暴露组学研究旨在更好地理解环境暴露和人类健康结果之间的复杂相互作用,以预防和减轻与此类暴露有关的疾病负担。高分辨质谱技术作为一种强大的化学分析手段,被广泛应用于暴露组学的相关领域研究中。
本次我们分享两篇应用Orbitrap进行暴露组学相关研究的文章。
文章一
探究食源性多酚化合物
对于人体的暴露组学研究[1]
Part.1探究食源性多酚化合物
对于人体的暴露组学研究[1]
研究背景
质谱非靶向代谢组学研究流程由于其检测目标可涵盖机体内的全部内源性代谢物、饮食摄入物以及环境污染物而被广泛应用于暴露组相关物质的研究检测。基于上述流程所测得的生物样品数据中可含有上万个特征信号,虽然经过数据发掘和多数据库比对,很多与宿主、微生物代谢以及常见环境暴露因素(包括烟草、药品和环境污染物)的化合物可得到解析鉴定,但是数据中的大部分特征信号仍然为未知物,被称为“代谢组学暗物质”(metabolomics dark matter)。

(△点击查看大图)
考虑到日常饮食中大量植物成分的存在,上述暗物质中极有可能包括大量植物化学成分及其在人体、肠道微生物体内代谢产生的代谢物。本文作者以多酚类物质为切入点,研究食源性植物化学物质在人体内暴露情况。
Part.2
建立多酚类化合物谱图库
研究人员总结归纳了常见蔬菜水果中的已知多酚类物质清单,并参考相关食品组学文章中采用质谱分析所检测到的多酚类物质,从而生成了目标化合物列表并收集到166种对照品。这些对照品包括57种苯甲酸、苯甲醛、苯环衍生物,12种肉桂酸,16种benyisuan,11种苯bingsuan,9种嘌呤衍生物,8种马尿酸,5种色氨酸-吲哚衍生物,3种吡啶甲酸,2种儿茶酚胺等。

(△点击查看大图)
研究人员在Q Exactive HF-X高分辨液质联用系统上建立了非靶向代谢组学方法测试多酚类化合物对照品,建立谱图数据库。166种对照品中有151种化合物可被质谱检测到,其中90种可在正、负离子模式下同时被检测到。
Part.3
检测尿液和血浆中的
多酚类食源性代谢物
研究人员由美国儿童健康暴露分析资源组织(Child Health Exposure Analysis Resource, CHEAR)获得参照尿液和血浆样本。经过蛋白沉淀处理后,直接用于液质联用分析。研究人员将代谢物鉴定结果分为三个等级:OL1(MS、RT和MS/MS匹配)、OL2a(MS和RT匹配)和OL2b(MS和MS/MS匹配)。最终,在人体尿液和血浆样本中检测到123种代谢物。

(△点击查看大图)
Part.4总 结
本文作者以多酚类化合物为例,描述了建立饮食暴露组数据库(Dietary Exposome Library, DEL)的流程方法。通过不断完善数据库,有望进一步提高体内生物样本中化合物的鉴定覆盖率,阐明饮食暴露对于机体的影响。

文章二
胆汁淤积性肝病的暴露组学
与代谢组学研究[2]
Part.1胆汁淤积性肝病的暴露组学
与代谢组学研究[2]
研究背景
原发性硬化性胆管炎(PSC)和原发性胆汁性胆管炎(PBC)作为罕见的胆汁淤积性肝病,由于对其病因认知不足,导致治疗手段有限、预后效果差。尤其是肝毒性以及其他影响代谢的环境物质在疾病发生、发展过程中的可能作用仍然缺乏研究。
本文作者应用暴露组学-代谢组学相结合的方式来揭示PSC和PBC的潜在致病因素。通过全暴露组关联分析(exposome-wide association study, EWAS)检测包括农药、添加剂、持续污染物等环境物质暴露,分析环境物质在PSC和PBC发生过程中的作用。通过全代谢组关联分析(metabolome-wide association studies, MWAS)探究体内代谢途径在PSC和PBC疾病状态下的变化和差异。
Part.2
全暴露组关联分析
研究人员应用Q Excative GC Orbitrap 高分辨气质联用仪对病人、健康人的血浆样本中的环境物质进行非靶向分析。在数据处理方面,非靶向数据经过log2-转换、四分位差归一化处理,统计模型考虑年龄、性别等因素的影响,探究环境物质与PSC、PBC的关联。研究人员将错误发现率(false discovery rate, FDR)限值设置为20%,筛选出54个与PSC相关的物质。作为差异排名前6位的物质,C-256通过NIST 2017数据库匹配,被鉴定为氨基甲酸酯类农药芽根灵(terbucarb)。值得注意的是,在非靶向分析中,未找到与PCB相关的环境 物质。

(△点击查看大图)
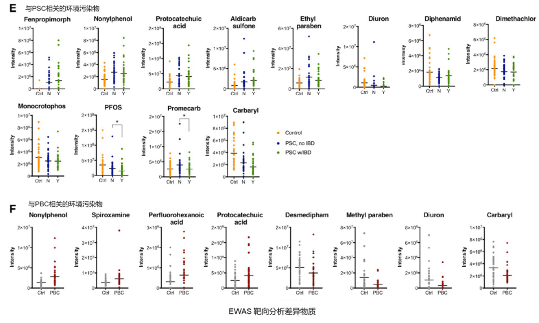
同时,研究人员还通过Q Excative GC Orbitrap 高分辨气质联用仪和Orbitrap Exploris系列高分辨液质联用仪对血浆中的环境物质进行了554种物质靶向分析。最终通过GC-HRMS和LC-HRMS分别检测到55种和71种环境物质。将P < 0.05 作为差异物质筛选条件,分别发现12种和8种与PSC、PBC相关的环境物质。

(△点击查看大图)
Part.3
全代谢组关联分析
研究人员在Orbitrap Exploris系列高分辨液质联用平台上,采用HILIC和反相色谱两种分离模式对80个PSC病人和40个健康人血浆样本中的内源性代谢物进行分析检测,分别检测到了11634个和9109个特征信号。其中,有1204个特征信号与PSC相关。对40个PBC病人和40个健康人血浆样本中内源性代谢物分析中,HILIC和反相色谱分离模式分别检测到了11729个和9294个特征信号,其中703个特征信号与疾病相关。经代谢通路识别分析发现,与健康人相比,PSC病人和PBC病人分别有27条和10条代谢通路中的代谢物含量发生显著上调,9条代谢通路在两种疾病条件下都发生变化,其中胆汁酸生物合成是两种疾病条件下变化最为明显的代谢通路。


(△点击查看大图)
Part.4
EWAS × MWAS
研究人员通过网络分析检查环境物质与内源性代谢通路间的关联。在PSC和PBC两种疾病状态下,相互作用网络中分别生成了3个和2个聚类节点。其中,对于PSC分析最大的网络节点为氨基甲酸酯类农药芽根灵,该节点涵盖大多数氨基酸相关通路、类花生酸代谢以及核酸代谢通路。


(△点击查看大图)
Part.5
总 结
本文将高分辨液相质谱平台和高分辨质谱平台联用,对罕见肝病病人和健康人的血浆样本进行了暴露组学和代谢组学分析,揭示了外源性环境污染物对于胆汁淤积性肝病发生的影响。

