"雾"极思变|CAD新品三大技术革新,终结分析难题!
发布时间:2025-07-03 16:28 | 点击次数:397

聚山梨酯80(吐温80,PS80)作为生物制药中关键辅料,其质量控制一直是行业面临的重大挑战——无紫外吸收、基质干扰大、定量线性差三大技术难题长期困扰着分析工作者。赛默飞应用中心多年来深耕吐温80的分析方法研究,致力于突破技术瓶颈。随着第七代Vanquish CAD P序列检测器的推出,分析性能更是迎来革命性升级!本次发布的应用文章更是采用了赛默飞全新Vanquish CAD HP检测器,结合反梯度液相色谱技术,充分发挥了 Vanquish CAD HP的三大核心优势,将吐温80的分析研究提高到新的高度!
吐温80作为复杂混合物,其不同酯化度组分的检测器响应值极易受流动相组成波动影响,传统方法难以实现精准质量平衡。为此,本应用文章创新性地采用反梯度UHPLC-CAD联用技术,使检测器入口有机相组成保持恒定,以消除流动相波动对峰面积的干扰,确保不同酯化度组分的真实质量平衡。同时,Chromeleon™ CDS系统可自动根据分析梯度智能生成反梯度条件,无需人工计算,方法开发效率大大提升,杜绝人为输入错误。
在吐温80的HPLC-CAD分析中,常见的配方成分(组氨酸和蔗糖)因其在C18色谱柱上不保留的特性,往往在色谱图前1分钟内快速洗脱,导致基线波动干扰和系统污染两大关键问题,从而影响第一组分峰面积的稳定性,以及高浓度辅料长期积累对检测器带来的损伤。
第七代Vanquish CAD P序列的智能分流阀技术,提供了完美的解决方案。通过时间程序控制精准阀切换,将非目标组分(组氨酸/蔗糖)导向废液,大大提升了第一组峰面积的分析精确度,其RSD从3.2%降至0.8%,积分精度提升了三倍。

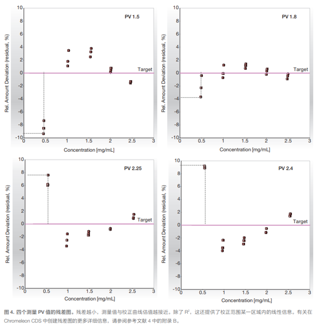
在吐温80的HPLC-CAD分析中,传统单通道检测面临着两大挑战——宽浓度范围下信号线性偏差较大和手动PV值优化耗时耗力,效率低下。
第七代Vanquish CAD HP的四通道PV同步采集技术带来革命性突破,通过单次进样同步采集1.5(最低)、1.8(默认)、2.25、2.4(最高)四个PV值通道数据,通过智能线性优化,全自动比对相关系数(R²)和残差(相对量偏差),从而得到最佳PV值,使得吐温80 在0.5-2.5 mg/mL范围内线性相关系数R²>0.9997,低浓度点(0.5 mg/mL)残差小于4%,大大提升了准确度。
更高灵敏度——突破痕量检测极限,让杂质无所遁形
更智能优化——四通道PV值同步采集,方法开发效率倍增
全新升级——全新智能分流阀设计,数据可靠性全面升级
选择Vanquish CAD P系列,让复杂样品的分析从此精准、高效、无忧!
欢迎致电400-099-8212联系我们
如需合作转载本文,请文末留言。

