菌益求精|赛默飞赋能食用菌新标准
发布时间:2025-07-08 10:52 | 点击次数:229
食用菌是人们日常膳食中的常见食材,不仅味道鲜美,而且营养价值较高,具有良好的保健功能。食用菌中含有丰富的麦角甾醇,它是一种具有重要营养和生理活性的甾体化合物,对人体钙磷代谢和骨骼健康具有重要作用。此外,研究表明麦角甾醇具有潜在的健康益处和重要的生理功能,包括降低胆固醇和减少心血管疾病发生率、降血糖、抗氧化、抗菌和抗肿瘤活性等,使其成为评价食用菌营养价值和质量的重要指标之一。食用菌中的麦角甾醇主要以游离形式存在,其含量因菌种、生长环境、栽培方式和加工工艺等因素而存在显著差异,因此建立科学准确的检测方法对食用菌品质评价至关重要。

由中华全国供销合作总社昆明食用菌研究所牵头,联合了赛默飞等11家专业机构共同制定的行业标准GH/T 1475-2024《食用菌中游离麦角甾醇的测定 高效液相色谱法》,已于2025年6月1日起在全国范围内正式实施。该标准建立了食用菌中游离麦角甾醇含量的统一检测方法,标准详细规定了试剂材料、仪器设备、样品前处理、分析条件、结果计算和精密度要求等技术内容,为食用菌质量评价提供了科学可靠的技术依据。在GH/T 1475-2024标准发布之前,我国食用菌行业中游离麦角甾醇的检测方法缺乏统一标准,不同实验室和检测机构采用的自建方法存在较大差异,导致检测结果难以比较,影响了产品质量评价的客观性和公平性。

赛默飞作为标准起草单位之一,参与了标准编制,在赛默飞实验室进行了检测方法验证等工作。实验中采用赛默飞Vanquish液相色谱,通过大批量样本的检测,得到了良好的精密度、线性关系、加标回收率等结果。
实验结果:
验证实验选用赛默飞经典的Hypersil BDS C18色谱柱,该色谱柱采用碱脱活处理,使得硅胶表面残余硅醇基活性降至最低,化合物峰形优异,能够有效减少拖尾,并且具有出色的稳定性和重现性。标准溶液中麦角甾醇组分可以有效检出,且峰型优异,理论塔板数高。空白溶剂对麦角甾醇组分的检测无干扰影响。通过检测食用菌实际样品,样品中其他组分与麦角甾醇实现基线分离,对麦角甾醇组分的检测无干扰影响。说明Hypersil BDS C18色谱柱的分离效果好,方法专属性高。

图1:食用菌实际样品色谱图
(点击查看大图)
图2:标准溶液(黑)和空白溶剂(红)色谱图
(点击查看大图)
图3:色谱峰结果
(点击查看大图)
滑动查看更多
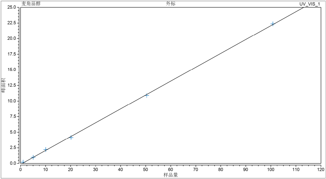
配制不同浓度的标准品溶液,考察线性情况。在浓度1-100μg/mL内呈现良好线性关系,R2>0.999,说明此方法线性关系好。
图4 标准曲线(点击查看大图)
图5 标准曲线结果
(点击查看大图)
滑动查看更多
为了验证方法的精密度,分别选择3种干品和3种鲜品食用菌实际样本,每种样本均平行处理并测定6次。得到的检测结果中每种食用菌样本均具有良好的精密度结果,RSD为0.34%~0.99%,说明方法精密度良好。
表1 鲜品样本精密度
表2 干品样本精密度
滑动查看更多
实验还利用3种食用菌实际样本,分别从低中高3种浓度水平进行加标回收实验,考察方法的准确度。实验结果表明,3种样本均具有良好的回收率检测结果,平均回收率为98.2%~99.9%,说明方法的准确度高。
表3 回收率数据
(点击查看大图)
总结与展望:
综上所述,通过赛默飞Vanquish Core液相色谱进行检测方法验证,取得了理想的实验结果,方法的专属性、线性关系、精密度、准确度均良好。
赛默飞Vanquish系列液相色谱自问世以来,广泛服务于制药、食品、环境及化工等不同领域。作为新一代的液相色谱平台,其独特的模块化设计,多类型泵及进样模块,灵活的柱温双控温模式,高灵敏的检测器,全方位保证了实验结果可靠性及准确性,同时大大提高了样品的通量及分析速率,日渐成为绿色环保、提速增效的代表性实验室产品,受到了来自各行各业客户的一致好评。
(点击查看大图)
GH/T 1475-2024标准的发布实施填补了我国食用菌功能成分检测标准的空白,为食用菌中游离麦角甾醇的检测提供了全国统一的、科学可靠的方法规范。通过统一检测方法,标准有效解决了此前因方法差异导致的检测结果不可比问题,显著提升了检测数据的可靠性、可比性和权威性。标准的实施为食用菌产业质量升级提供了技术支撑,对产业链各环节也产生深远影响,对推动产业标准化、优质化和国际化发展具有重要意义。
欢迎致电400-099-8212联系我们
如需合作转载本文,请文末留言。

